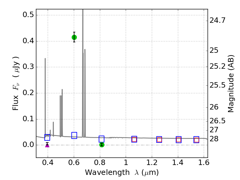
RXS0603+42-N IR detection object #466

Color images and BPZ results
Catalog: 466.cat
Black segments are analyzed here.   Roll mouse over color images to view segments.
Best viewed in a wide browser window (1200 pixels or more).   Download SED & P(z) plots to view larger versions.
In P(z) plots: Yellow lines mark the cluster redshift z = 0.228,  

Object #466   x,y = (2769, 3577)   RA, Dec = (06:03:12.696, 42:16:52.32) = (90.80290, 42.28120)   BPZ = 0.024 [0.012--3.334]   type = 11.00 (SB11_A_0_l)   stellarity = 0.61   chisq2 = 403.80   ODDS = 0.44   z_cluster = 0.228