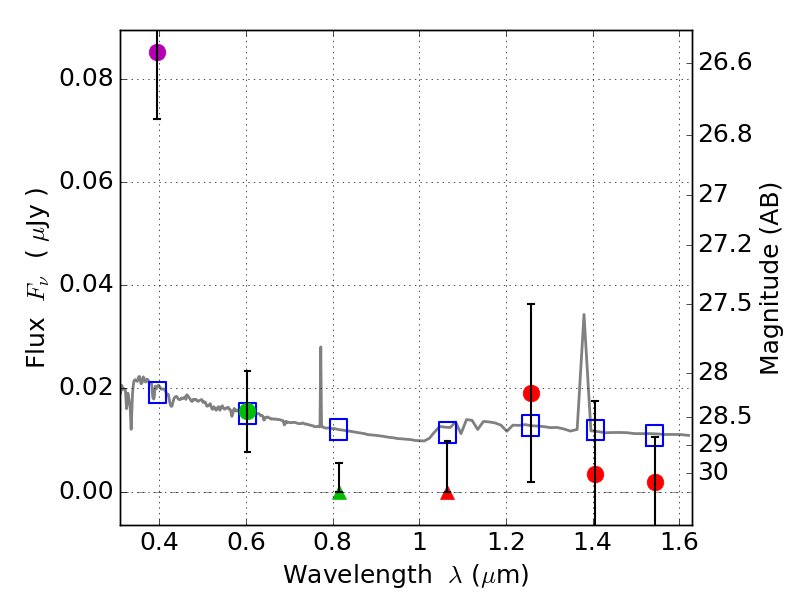
RXS0603+42-N IR detection object #4659

Color images and BPZ results
Catalog: 4659.cat
Black segments are analyzed here.   Roll mouse over color images to view segments.
Best viewed in a wide browser window (1200 pixels or more).   Download SED & P(z) plots to view larger versions.
In P(z) plots: Yellow lines mark the cluster redshift z = 0.228,  

Object #4659   x,y = (2703, 1977)   RA, Dec = (06:03:13.056, 42:15:16.20) = (90.80440, 42.25450)   BPZ = 1.761 [0.478--2.795]   type = 11.00 (SB11_A_0_l)   stellarity = 0.38   chisq2 = 8.04   ODDS = 0.24   z_cluster = 0.228