RXS0603+42-N IR detection object #4629

Color images and BPZ results
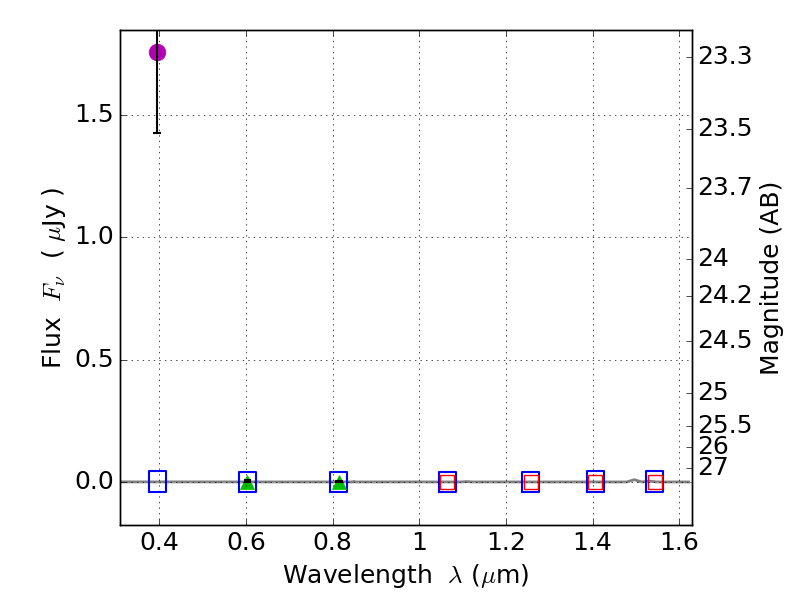
Catalog: 4629.cat
Black segments are analyzed here.   Roll mouse over color images to view segments.
Best viewed in a wide browser window (1200 pixels or more).   Download SED & P(z) plots to view larger versions.
In P(z) plots: Yellow lines mark the cluster redshift z = 0.228,  

Object #4629   x,y = (1458, 1992)   RA, Dec = (06:03:19.776, 42:15:17.28) = (90.83240, 42.25480)   BPZ = 1.276 [0.366--9.668]   type = 11.00 (SB11_A_0_l)   stellarity = 0.88   chisq2 = 27.78   ODDS = 0.05   z_cluster = 0.228