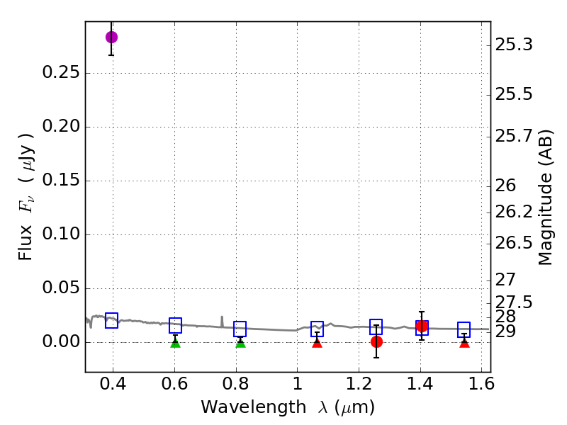
RXS0603+42-N IR detection object #4600

Color images and BPZ results
Catalog: 4600.cat
Black segments are analyzed here.   Roll mouse over color images to view segments.
Best viewed in a wide browser window (1200 pixels or more).   Download SED & P(z) plots to view larger versions.
In P(z) plots: Yellow lines mark the cluster redshift z = 0.228,  

Object #4600   x,y = (3060, 2094)   RA, Dec = (06:03:11.112, 42:15:23.40) = (90.79630, 42.25650)   BPZ = 1.697 [0.987--2.351]   type = 11.00 (SB11_A_0_l)   stellarity = 0.77   chisq2 = 61.10   ODDS = 0.39   z_cluster = 0.228