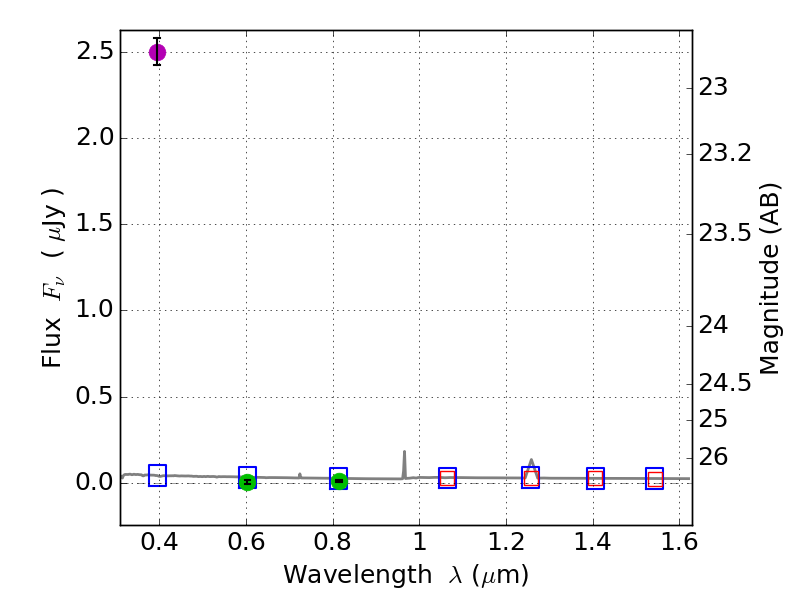
RXS0603+42-N IR detection object #459

Color images and BPZ results
Catalog: 459.cat
Black segments are analyzed here.   Roll mouse over color images to view segments.
Best viewed in a wide browser window (1200 pixels or more).   Download SED & P(z) plots to view larger versions.
In P(z) plots: Yellow lines mark the cluster redshift z = 0.228,  

Object #459   x,y = (2219, 3578)   RA, Dec = (06:03:15.672, 42:16:52.32) = (90.81530, 42.28120)   BPZ = 1.594 [0.928--2.282]   type = 11.00 (SB11_A_0_l)   stellarity = 0.66   chisq2 = 959.00   ODDS = 0.26   z_cluster = 0.228