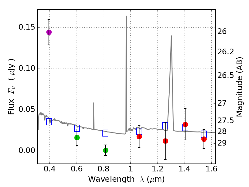
RXS0603+42-N IR detection object #4586

Color images and BPZ results
Catalog: 4586.cat
Black segments are analyzed here.   Roll mouse over color images to view segments.
Best viewed in a wide browser window (1200 pixels or more).   Download SED & P(z) plots to view larger versions.
In P(z) plots: Yellow lines mark the cluster redshift z = 0.228,  

Object #4586   x,y = (2472, 1997)   RA, Dec = (06:03:14.304, 42:15:17.64) = (90.80960, 42.25490)   BPZ = 1.602 [1.167--2.262]   type = 11.00 (SB11_A_0_l)   stellarity = 0.35   chisq2 = 14.65   ODDS = 0.33   z_cluster = 0.228