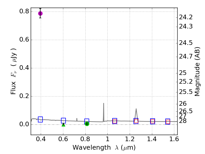
RXS0603+42-N IR detection object #458

Color images and BPZ results
Catalog: 458.cat
Black segments are analyzed here.   Roll mouse over color images to view segments.
Best viewed in a wide browser window (1200 pixels or more).   Download SED & P(z) plots to view larger versions.
In P(z) plots: Yellow lines mark the cluster redshift z = 0.228,  

Object #458   x,y = (2229, 3567)   RA, Dec = (06:03:15.624, 42:16:51.60) = (90.81510, 42.28100)   BPZ = 1.594 [1.107--2.160]   type = 11.00 (SB11_A_0_l)   stellarity = 0.99   chisq2 = 520.00   ODDS = 0.32   z_cluster = 0.228