RXS0603+42-N IR detection object #4549

Color images and BPZ results
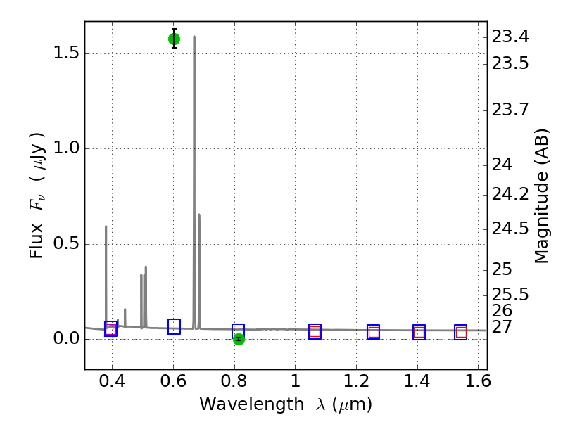
Catalog: 4549.cat
Black segments are analyzed here.   Roll mouse over color images to view segments.
Best viewed in a wide browser window (1200 pixels or more).   Download SED & P(z) plots to view larger versions.
In P(z) plots: Yellow lines mark the cluster redshift z = 0.228,  

Object #4549   x,y = (1291, 1992)   RA, Dec = (06:03:20.688, 42:15:17.28) = (90.83620, 42.25480)   BPZ = 0.022 [0.010--2.882]   type = 11.00 (SB11_A_0_l)   stellarity = 1.00   chisq2 = 948.50   ODDS = 0.63   z_cluster = 0.228