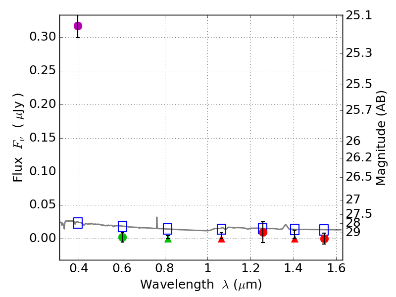
RXS0603+42-N IR detection object #4500

Color images and BPZ results
Catalog: 4500.cat
Black segments are analyzed here.   Roll mouse over color images to view segments.
Best viewed in a wide browser window (1200 pixels or more).   Download SED & P(z) plots to view larger versions.
In P(z) plots: Yellow lines mark the cluster redshift z = 0.228,  

Object #4500   x,y = (2569, 2088)   RA, Dec = (06:03:13.776, 42:15:23.04) = (90.80740, 42.25640)   BPZ = 1.731 [1.090--2.258]   type = 11.00 (SB11_A_0_l)   stellarity = 0.71   chisq2 = 71.61   ODDS = 0.45   z_cluster = 0.228