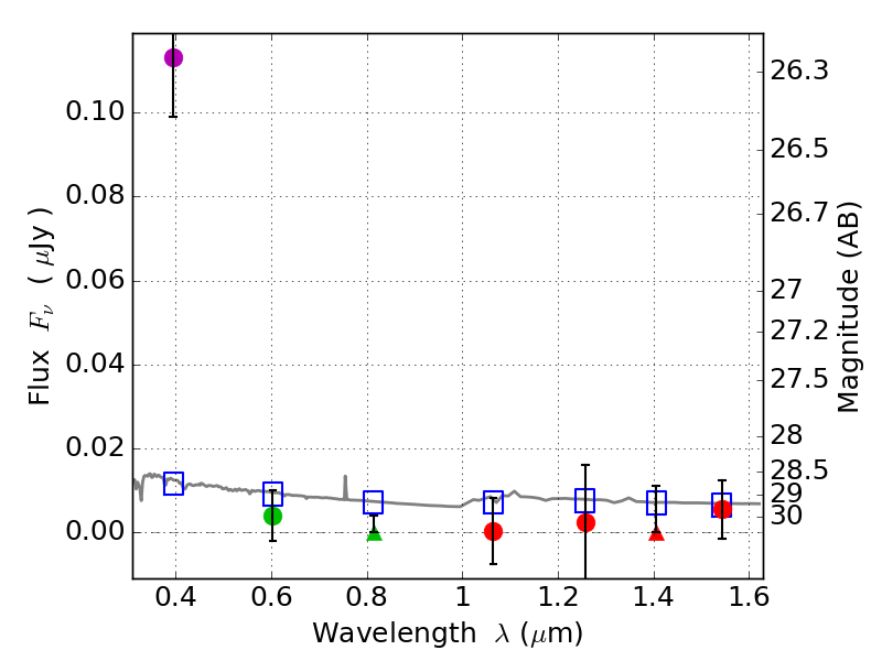
RXS0603+42-N IR detection object #4498

Color images and BPZ results
Catalog: 4498.cat
Black segments are analyzed here.   Roll mouse over color images to view segments.
Best viewed in a wide browser window (1200 pixels or more).   Download SED & P(z) plots to view larger versions.
In P(z) plots: Yellow lines mark the cluster redshift z = 0.228,  

Object #4498   x,y = (3193, 2021)   RA, Dec = (06:03:10.392, 42:15:19.08) = (90.79330, 42.25530)   BPZ = 1.700 [0.381--6.122]   type = 11.00 (SB11_A_0_l)   stellarity = 0.64   chisq2 = 14.00   ODDS = 0.13   z_cluster = 0.228