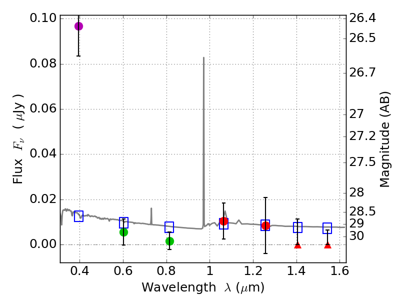
RXS0603+42-N IR detection object #4479

Color images and BPZ results
Catalog: 4479.cat
Black segments are analyzed here.   Roll mouse over color images to view segments.
Best viewed in a wide browser window (1200 pixels or more).   Download SED & P(z) plots to view larger versions.
In P(z) plots: Yellow lines mark the cluster redshift z = 0.228,  

Object #4479   x,y = (3032, 2068)   RA, Dec = (06:03:11.280, 42:15:21.60) = (90.79700, 42.25600)   BPZ = 1.613 [0.387--5.043]   type = 11.00 (SB11_A_0_l)   stellarity = 0.39   chisq2 = 10.99   ODDS = 0.16   z_cluster = 0.228