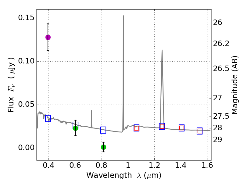
RXS0603+42-N IR detection object #4478

Color images and BPZ results
Catalog: 4478.cat
Black segments are analyzed here.   Roll mouse over color images to view segments.
Best viewed in a wide browser window (1200 pixels or more).   Download SED & P(z) plots to view larger versions.
In P(z) plots: Yellow lines mark the cluster redshift z = 0.228,  

Object #4478   x,y = (4131, 2026)   RA, Dec = (06:03:05.328, 42:15:19.08) = (90.77220, 42.25530)   BPZ = 1.595 [1.179--2.287]   type = 11.00 (SB11_A_0_l)   stellarity = 0.39   chisq2 = 46.64   ODDS = 0.30   z_cluster = 0.228