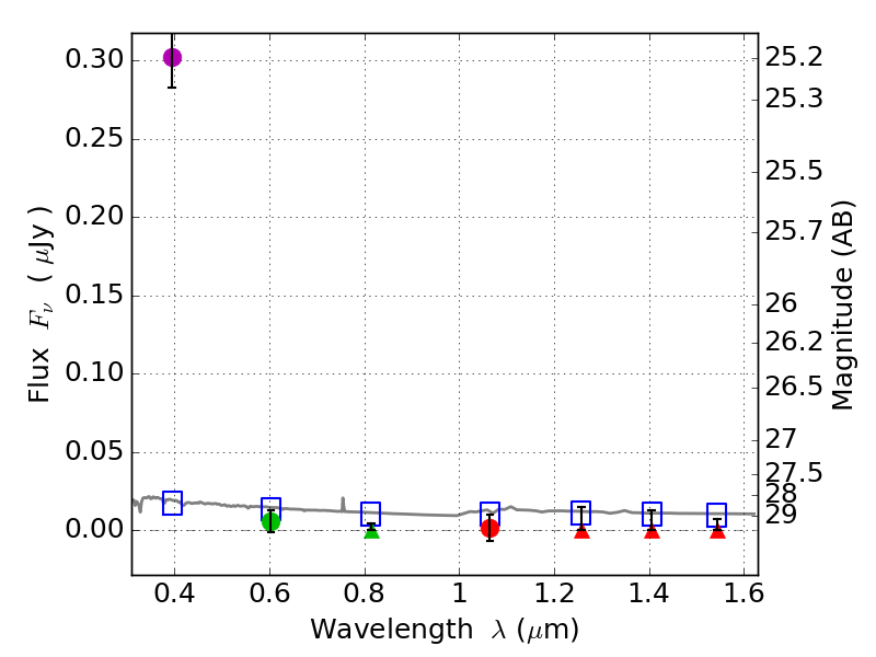
RXS0603+42-N IR detection object #4413

Color images and BPZ results
Catalog: 4413.cat
Black segments are analyzed here.   Roll mouse over color images to view segments.
Best viewed in a wide browser window (1200 pixels or more).   Download SED & P(z) plots to view larger versions.
In P(z) plots: Yellow lines mark the cluster redshift z = 0.228,  

Object #4413   x,y = (3049, 2050)   RA, Dec = (06:03:11.184, 42:15:20.88) = (90.79660, 42.25580)   BPZ = 1.700 [0.618--2.750]   type = 11.00 (SB11_A_0_l)   stellarity = 0.81   chisq2 = 52.11   ODDS = 0.29   z_cluster = 0.228