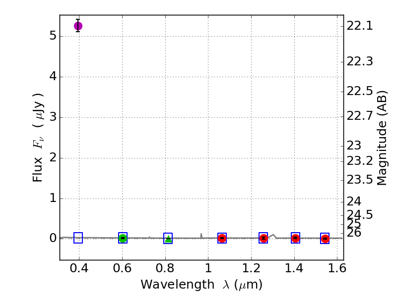
RXS0603+42-N IR detection object #4412

Color images and BPZ results
Catalog: 4412.cat
Black segments are analyzed here.   Roll mouse over color images to view segments.
Best viewed in a wide browser window (1200 pixels or more).   Download SED & P(z) plots to view larger versions.
In P(z) plots: Yellow lines mark the cluster redshift z = 0.228,  

Object #4412   x,y = (3093, 2048)   RA, Dec = (06:03:10.944, 42:15:20.52) = (90.79560, 42.25570)   BPZ = 1.600 [0.383--3.638]   type = 11.00 (SB11_A_0_l)   stellarity = 0.88   chisq2 = 285.40   ODDS = 0.17   z_cluster = 0.228