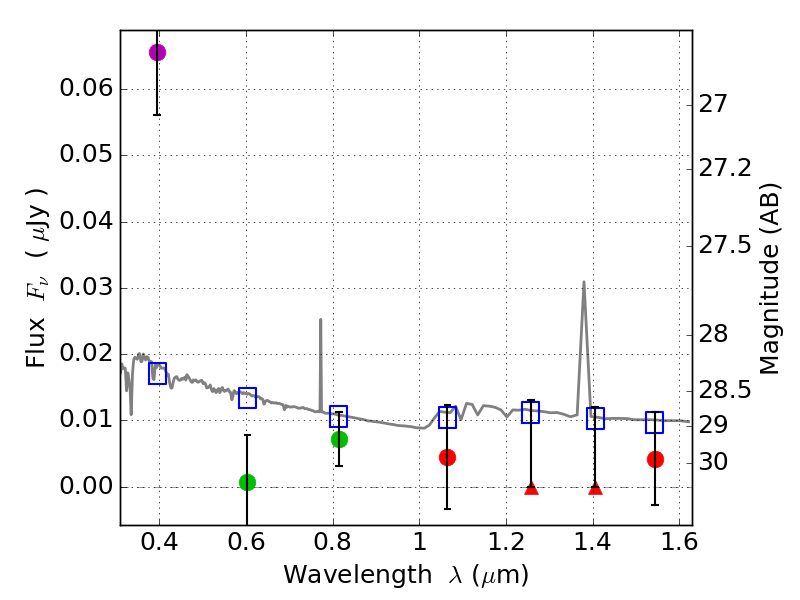
RXS0603+42-N IR detection object #4376

Color images and BPZ results
Catalog: 4376.cat
Black segments are analyzed here.   Roll mouse over color images to view segments.
Best viewed in a wide browser window (1200 pixels or more).   Download SED & P(z) plots to view larger versions.
In P(z) plots: Yellow lines mark the cluster redshift z = 0.228,  

Object #4376   x,y = (2661, 2064)   RA, Dec = (06:03:13.272, 42:15:21.60) = (90.80530, 42.25600)   BPZ = 1.764 [0.503--2.602]   type = 11.00 (SB11_A_0_l)   stellarity = 0.36   chisq2 = 7.99   ODDS = 0.23   z_cluster = 0.228