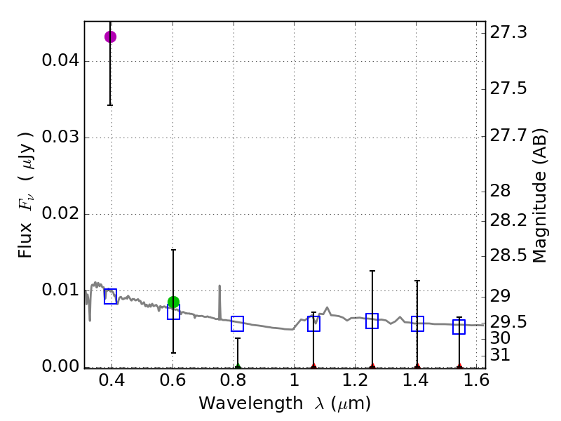
RXS0603+42-N IR detection object #4368

Color images and BPZ results
Catalog: 4368.cat
Black segments are analyzed here.   Roll mouse over color images to view segments.
Best viewed in a wide browser window (1200 pixels or more).   Download SED & P(z) plots to view larger versions.
In P(z) plots: Yellow lines mark the cluster redshift z = 0.228,  

Object #4368   x,y = (2941, 2063)   RA, Dec = (06:03:11.760, 42:15:21.60) = (90.79900, 42.25600)   BPZ = 1.699 [0.297--6.443]   type = 11.00 (SB11_A_0_l)   stellarity = 0.36   chisq2 = 4.50   ODDS = 0.11   z_cluster = 0.228