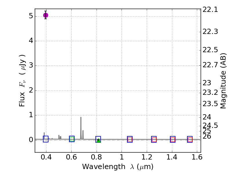
RXS0603+42-N IR detection object #4339

Color images and BPZ results
Catalog: 4339.cat
Black segments are analyzed here.   Roll mouse over color images to view segments.
Best viewed in a wide browser window (1200 pixels or more).   Download SED & P(z) plots to view larger versions.
In P(z) plots: Yellow lines mark the cluster redshift z = 0.228,  

Object #4339   x,y = (4609, 2075)   RA, Dec = (06:03:02.760, 42:15:22.32) = (90.76150, 42.25620)   BPZ = 0.031 [0.019--0.840]   type = 11.00 (SB11_A_0_l)   stellarity = 1.00   chisq2 = 1074.00   ODDS = 0.18   z_cluster = 0.228