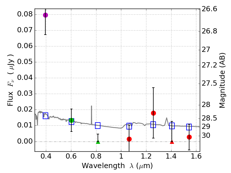
RXS0603+42-N IR detection object #4317

Color images and BPZ results
Catalog: 4317.cat
Black segments are analyzed here.   Roll mouse over color images to view segments.
Best viewed in a wide browser window (1200 pixels or more).   Download SED & P(z) plots to view larger versions.
In P(z) plots: Yellow lines mark the cluster redshift z = 0.228,  

Object #4317   x,y = (2276, 2095)   RA, Dec = (06:03:15.360, 42:15:23.40) = (90.81400, 42.25650)   BPZ = 1.730 [0.432--3.081]   type = 11.00 (SB11_A_0_l)   stellarity = 0.36   chisq2 = 8.16   ODDS = 0.22   z_cluster = 0.228