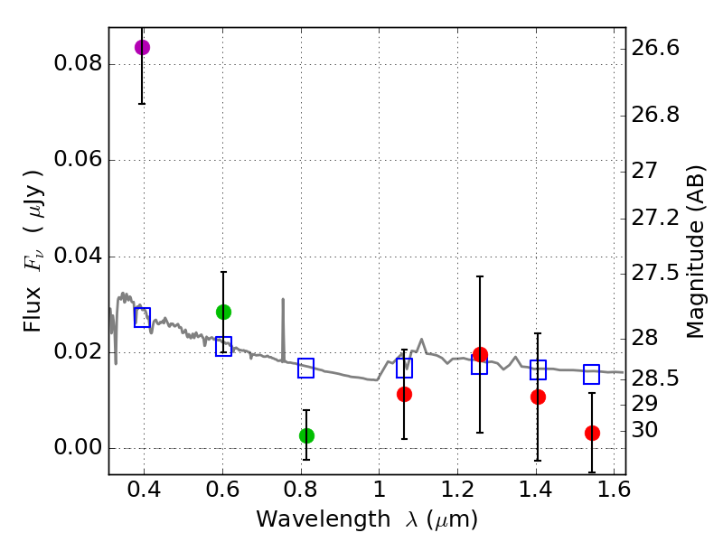
RXS0603+42-N IR detection object #4270

Color images and BPZ results
Catalog: 4270.cat
Black segments are analyzed here.   Roll mouse over color images to view segments.
Best viewed in a wide browser window (1200 pixels or more).   Download SED & P(z) plots to view larger versions.
In P(z) plots: Yellow lines mark the cluster redshift z = 0.228,  

Object #4270   x,y = (2861, 2100)   RA, Dec = (06:03:12.192, 42:15:23.76) = (90.80080, 42.25660)   BPZ = 1.700 [1.055--2.427]   type = 11.00 (SB11_A_0_l)   stellarity = 0.39   chisq2 = 7.86   ODDS = 0.41   z_cluster = 0.228