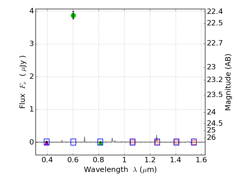
RXS0603+42-N IR detection object #42

Color images and BPZ results
Catalog: 42.cat
Black segments are analyzed here.   Roll mouse over color images to view segments.
Best viewed in a wide browser window (1200 pixels or more).   Download SED & P(z) plots to view larger versions.
In P(z) plots: Yellow lines mark the cluster redshift z = 0.228,  

Object #42   x,y = (2329, 3814)   RA, Dec = (06:03:15.072, 42:17:06.72) = (90.81280, 42.28520)   BPZ = 0.376 [0.058--2.494]   type = 10.00 (SB3_B10)   stellarity = 1.00   chisq2 = 1146.00   ODDS = 0.12   z_cluster = 0.228