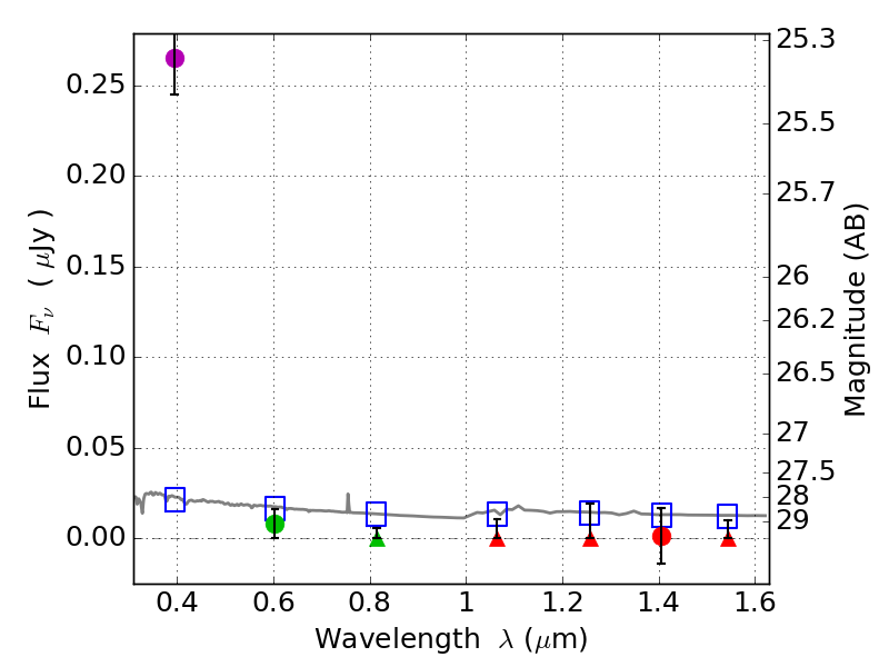
RXS0603+42-N IR detection object #4195

Color images and BPZ results
Catalog: 4195.cat
Black segments are analyzed here.   Roll mouse over color images to view segments.
Best viewed in a wide browser window (1200 pixels or more).   Download SED & P(z) plots to view larger versions.
In P(z) plots: Yellow lines mark the cluster redshift z = 0.228,  

Object #4195   x,y = (2869, 2125)   RA, Dec = (06:03:12.144, 42:15:25.20) = (90.80060, 42.25700)   BPZ = 1.700 [0.641--2.664]   type = 11.00 (SB11_A_0_l)   stellarity = 0.64   chisq2 = 37.06   ODDS = 0.29   z_cluster = 0.228