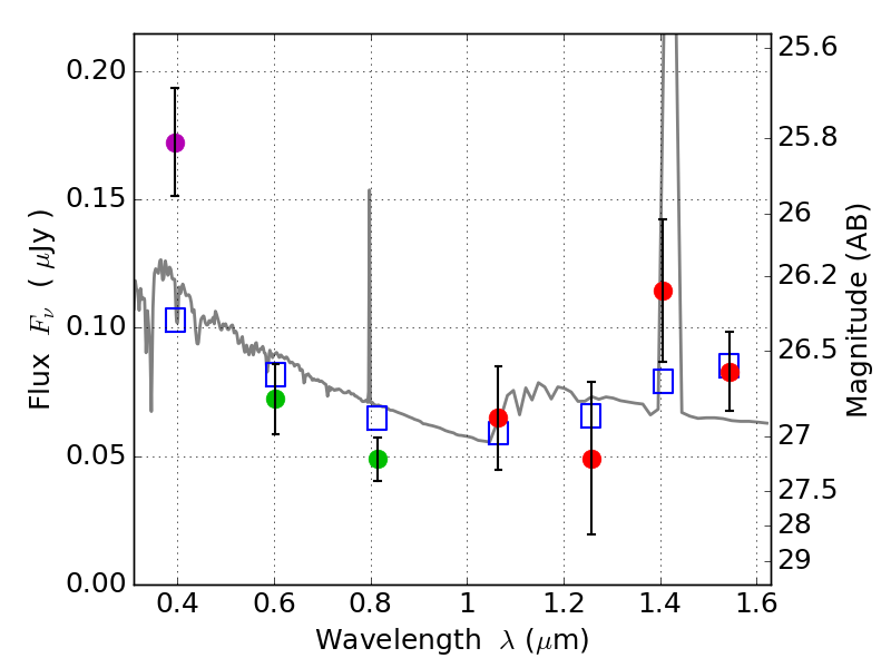
RXS0603+42-N IR detection object #4169

Color images and BPZ results
Catalog: 4169.cat
Black segments are analyzed here.   Roll mouse over color images to view segments.
Best viewed in a wide browser window (1200 pixels or more).   Download SED & P(z) plots to view larger versions.
In P(z) plots: Yellow lines mark the cluster redshift z = 0.228,  

Object #4169   x,y = (3511, 2132)   RA, Dec = (06:03:08.688, 42:15:25.56) = (90.78620, 42.25710)   BPZ = 1.851 [1.251--2.189]   type = 11.00 (SB11_A_0_l)   stellarity = 0.33   chisq2 = 3.57   ODDS = 0.36   z_cluster = 0.228