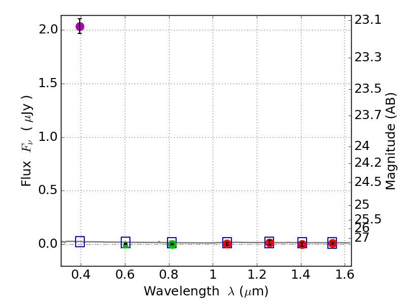
RXS0603+42-N IR detection object #4168

Color images and BPZ results
Catalog: 4168.cat
Black segments are analyzed here.   Roll mouse over color images to view segments.
Best viewed in a wide browser window (1200 pixels or more).   Download SED & P(z) plots to view larger versions.
In P(z) plots: Yellow lines mark the cluster redshift z = 0.228,  

Object #4168   x,y = (1701, 2516)   RA, Dec = (06:03:18.456, 42:15:48.60) = (90.82690, 42.26350)   BPZ = 1.699 [0.588--3.661]   type = 11.00 (SB11_A_0_l)   stellarity = 0.87   chisq2 = 226.90   ODDS = 0.22   z_cluster = 0.228