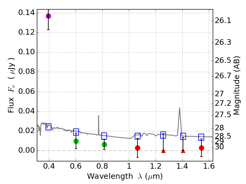
RXS0603+42-N IR detection object #4157

Color images and BPZ results
Catalog: 4157.cat
Black segments are analyzed here.   Roll mouse over color images to view segments.
Best viewed in a wide browser window (1200 pixels or more).   Download SED & P(z) plots to view larger versions.
In P(z) plots: Yellow lines mark the cluster redshift z = 0.228,  

Object #4157   x,y = (1801, 2138)   RA, Dec = (06:03:17.928, 42:15:25.92) = (90.82470, 42.25720)   BPZ = 1.764 [0.843--2.428]   type = 11.00 (SB11_A_0_l)   stellarity = 0.43   chisq2 = 17.96   ODDS = 0.33   z_cluster = 0.228