RXS0603+42-N IR detection object #4122

Color images and BPZ results
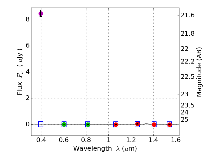
Catalog: 4122.cat
Black segments are analyzed here.   Roll mouse over color images to view segments.
Best viewed in a wide browser window (1200 pixels or more).   Download SED & P(z) plots to view larger versions.
In P(z) plots: Yellow lines mark the cluster redshift z = 0.228,  

Object #4122   x,y = (1588, 2354)   RA, Dec = (06:03:19.080, 42:15:38.88) = (90.82950, 42.26080)   BPZ = 1.694 [0.353--4.943]   type = 11.00 (SB11_A_0_l)   stellarity = 0.97   chisq2 = 286.90   ODDS = 0.15   z_cluster = 0.228