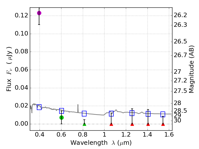
RXS0603+42-N IR detection object #4090

Color images and BPZ results
Catalog: 4090.cat
Black segments are analyzed here.   Roll mouse over color images to view segments.
Best viewed in a wide browser window (1200 pixels or more).   Download SED & P(z) plots to view larger versions.
In P(z) plots: Yellow lines mark the cluster redshift z = 0.228,  

Object #4090   x,y = (3806, 2161)   RA, Dec = (06:03:07.080, 42:15:27.36) = (90.77950, 42.25760)   BPZ = 1.700 [0.671--2.609]   type = 11.00 (SB11_A_0_l)   stellarity = 0.65   chisq2 = 18.50   ODDS = 0.30   z_cluster = 0.228