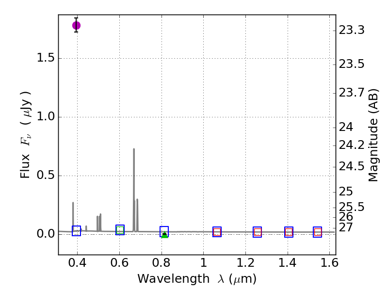
RXS0603+42-N IR detection object #405

Color images and BPZ results
Catalog: 405.cat
Black segments are analyzed here.   Roll mouse over color images to view segments.
Best viewed in a wide browser window (1200 pixels or more).   Download SED & P(z) plots to view larger versions.
In P(z) plots: Yellow lines mark the cluster redshift z = 0.228,  

Object #405   x,y = (2943, 3609)   RA, Dec = (06:03:11.760, 42:16:54.12) = (90.79900, 42.28170)   BPZ = 0.025 [0.011--0.746]   type = 11.00 (SB11_A_0_l)   stellarity = 0.88   chisq2 = 815.20   ODDS = 0.56   z_cluster = 0.228