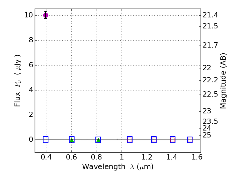
RXS0603+42-N IR detection object #403

Color images and BPZ results
Catalog: 403.cat
Black segments are analyzed here.   Roll mouse over color images to view segments.
Best viewed in a wide browser window (1200 pixels or more).   Download SED & P(z) plots to view larger versions.
In P(z) plots: Yellow lines mark the cluster redshift z = 0.228,  

Object #403   x,y = (2221, 3623)   RA, Dec = (06:03:15.648, 42:16:55.20) = (90.81520, 42.28200)   BPZ = 1.587 [0.373--9.430]   type = 11.00 (SB11_A_0_l)   stellarity = 0.92   chisq2 = 1147.00   ODDS = 0.06   z_cluster = 0.228