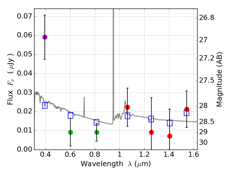
RXS0603+42-N IR detection object #4020

Color images and BPZ results
Catalog: 4020.cat
Black segments are analyzed here.   Roll mouse over color images to view segments.
Best viewed in a wide browser window (1200 pixels or more).   Download SED & P(z) plots to view larger versions.
In P(z) plots: Yellow lines mark the cluster redshift z = 0.228,  

Object #4020   x,y = (2250, 2180)   RA, Dec = (06:03:15.504, 42:15:28.44) = (90.81460, 42.25790)   BPZ = 1.554 [0.589--2.579]   type = 11.00 (SB11_A_0_l)   stellarity = 0.16   chisq2 = 3.15   ODDS = 0.19   z_cluster = 0.228