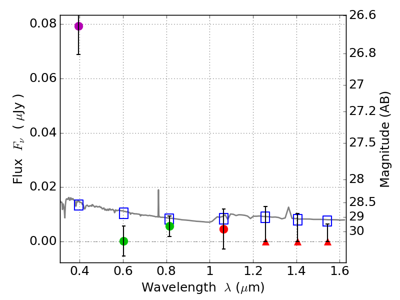
RXS0603+42-N IR detection object #3985

Color images and BPZ results
Catalog: 3985.cat
Black segments are analyzed here.   Roll mouse over color images to view segments.
Best viewed in a wide browser window (1200 pixels or more).   Download SED & P(z) plots to view larger versions.
In P(z) plots: Yellow lines mark the cluster redshift z = 0.228,  

Object #3985   x,y = (1913, 2221)   RA, Dec = (06:03:17.328, 42:15:30.96) = (90.82220, 42.25860)   BPZ = 1.733 [0.376--3.124]   type = 11.00 (SB11_A_0_l)   stellarity = 0.46   chisq2 = 11.31   ODDS = 0.20   z_cluster = 0.228