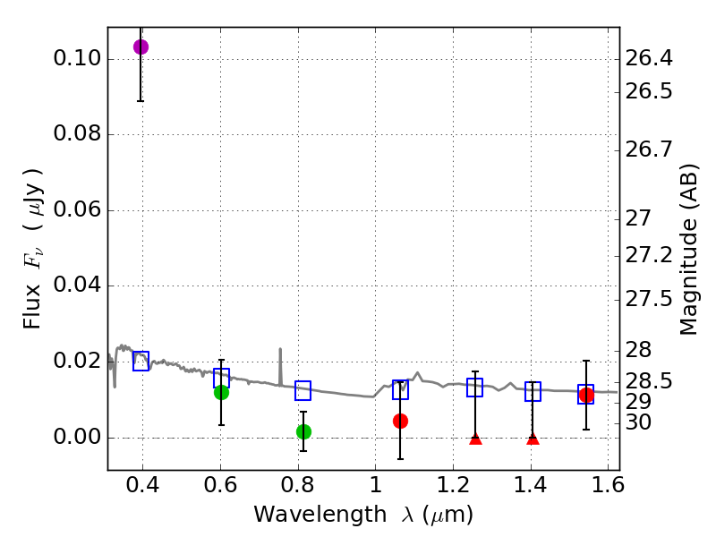
RXS0603+42-N IR detection object #3928

Color images and BPZ results
Catalog: 3928.cat
Black segments are analyzed here.   Roll mouse over color images to view segments.
Best viewed in a wide browser window (1200 pixels or more).   Download SED & P(z) plots to view larger versions.
In P(z) plots: Yellow lines mark the cluster redshift z = 0.228,  

Object #3928   x,y = (3012, 2225)   RA, Dec = (06:03:11.376, 42:15:31.32) = (90.79740, 42.25870)   BPZ = 1.701 [0.604--2.919]   type = 11.00 (SB11_A_0_l)   stellarity = 0.37   chisq2 = 9.67   ODDS = 0.20   z_cluster = 0.228