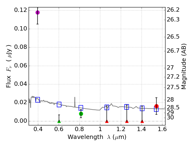
RXS0603+42-N IR detection object #3913

Color images and BPZ results
Catalog: 3913.cat
Black segments are analyzed here.   Roll mouse over color images to view segments.
Best viewed in a wide browser window (1200 pixels or more).   Download SED & P(z) plots to view larger versions.
In P(z) plots: Yellow lines mark the cluster redshift z = 0.228,  

Object #3913   x,y = (3524, 2235)   RA, Dec = (06:03:08.616, 42:15:31.68) = (90.78590, 42.25880)   BPZ = 1.702 [0.825--2.367]   type = 11.00 (SB11_A_0_l)   stellarity = 0.68   chisq2 = 16.44   ODDS = 0.25   z_cluster = 0.228