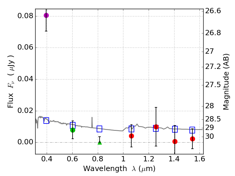
RXS0603+42-N IR detection object #3868

Color images and BPZ results
Catalog: 3868.cat
Black segments are analyzed here.   Roll mouse over color images to view segments.
Best viewed in a wide browser window (1200 pixels or more).   Download SED & P(z) plots to view larger versions.
In P(z) plots: Yellow lines mark the cluster redshift z = 0.228,  

Object #3868   x,y = (2849, 2250)   RA, Dec = (06:03:12.264, 42:15:32.76) = (90.80110, 42.25910)   BPZ = 1.700 [0.568--2.743]   type = 11.00 (SB11_A_0_l)   stellarity = 0.66   chisq2 = 12.40   ODDS = 0.26   z_cluster = 0.228