RXS0603+42-N IR detection object #3828

Color images and BPZ results
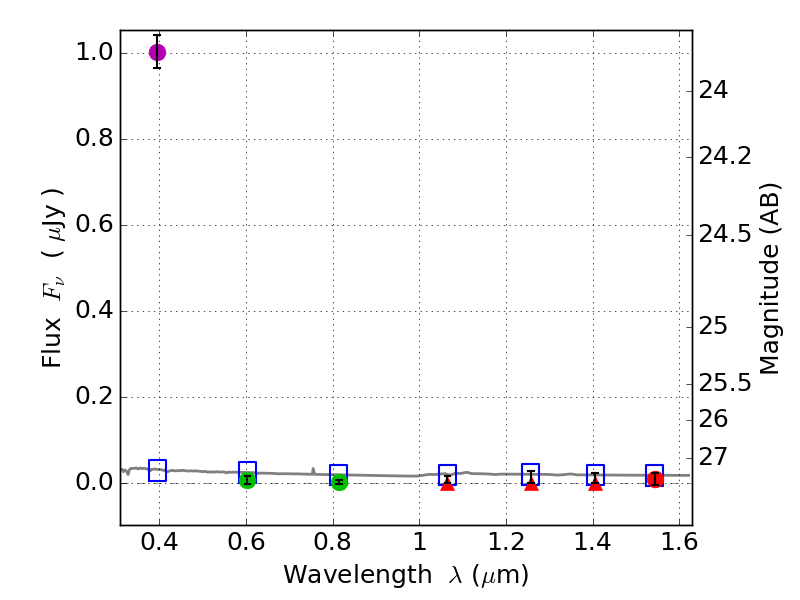
Catalog: 3828.cat
Black segments are analyzed here.   Roll mouse over color images to view segments.
Best viewed in a wide browser window (1200 pixels or more).   Download SED & P(z) plots to view larger versions.
In P(z) plots: Yellow lines mark the cluster redshift z = 0.228,  

Object #3828   x,y = (1590, 2265)   RA, Dec = (06:03:19.056, 42:15:33.48) = (90.82940, 42.25930)   BPZ = 1.700 [1.086--2.307]   type = 11.00 (SB11_A_0_l)   stellarity = 0.64   chisq2 = 158.60   ODDS = 0.36   z_cluster = 0.228