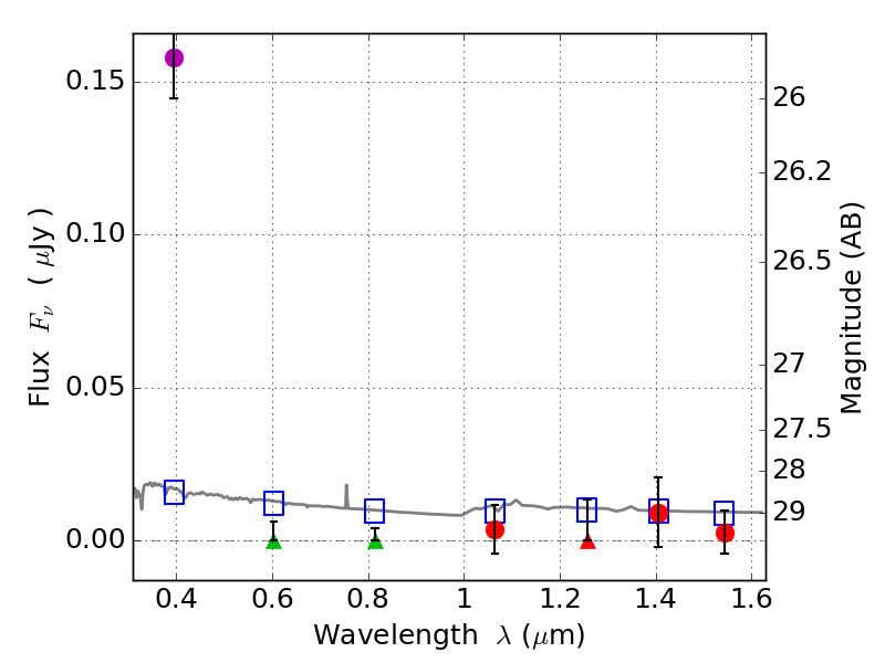
RXS0603+42-N IR detection object #3827

Color images and BPZ results
Catalog: 3827.cat
Black segments are analyzed here.   Roll mouse over color images to view segments.
Best viewed in a wide browser window (1200 pixels or more).   Download SED & P(z) plots to view larger versions.
In P(z) plots: Yellow lines mark the cluster redshift z = 0.228,  

Object #3827   x,y = (1920, 2266)   RA, Dec = (06:03:17.280, 42:15:33.48) = (90.82200, 42.25930)   BPZ = 1.699 [0.681--2.663]   type = 11.00 (SB11_A_0_l)   stellarity = 0.66   chisq2 = 29.75   ODDS = 0.28   z_cluster = 0.228