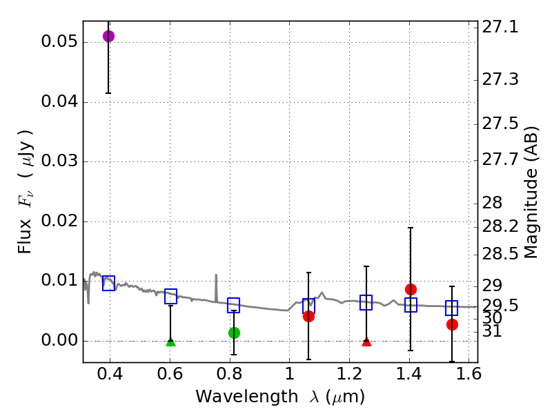
RXS0603+42-N IR detection object #3825

Color images and BPZ results
Catalog: 3825.cat
Black segments are analyzed here.   Roll mouse over color images to view segments.
Best viewed in a wide browser window (1200 pixels or more).   Download SED & P(z) plots to view larger versions.
In P(z) plots: Yellow lines mark the cluster redshift z = 0.228,  

Object #3825   x,y = (3082, 2267)   RA, Dec = (06:03:11.016, 42:15:33.84) = (90.79590, 42.25940)   BPZ = 1.698 [0.376--7.138]   type = 11.00 (SB11_A_0_l)   stellarity = 0.35   chisq2 = 5.56   ODDS = 0.11   z_cluster = 0.228