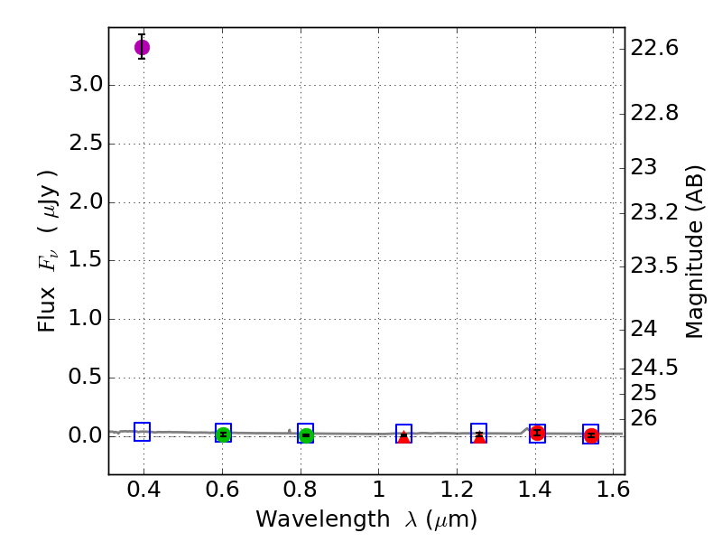
RXS0603+42-N IR detection object #3819

Color images and BPZ results
Catalog: 3819.cat
Black segments are analyzed here.   Roll mouse over color images to view segments.
Best viewed in a wide browser window (1200 pixels or more).   Download SED & P(z) plots to view larger versions.
In P(z) plots: Yellow lines mark the cluster redshift z = 0.228,  

Object #3819   x,y = (1671, 2516)   RA, Dec = (06:03:18.624, 42:15:48.60) = (90.82760, 42.26350)   BPZ = 1.762 [0.652--2.559]   type = 11.00 (SB11_A_0_l)   stellarity = 0.93   chisq2 = 249.40   ODDS = 0.27   z_cluster = 0.228