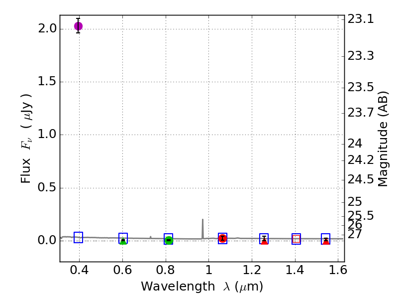
RXS0603+42-N IR detection object #3772

Color images and BPZ results
Catalog: 3772.cat
Black segments are analyzed here.   Roll mouse over color images to view segments.
Best viewed in a wide browser window (1200 pixels or more).   Download SED & P(z) plots to view larger versions.
In P(z) plots: Yellow lines mark the cluster redshift z = 0.228,  

Object #3772   x,y = (1562, 2292)   RA, Dec = (06:03:19.224, 42:15:35.28) = (90.83010, 42.25980)   BPZ = 1.610 [0.752--2.401]   type = 11.00 (SB11_A_0_l)   stellarity = 0.99   chisq2 = 298.20   ODDS = 0.26   z_cluster = 0.228