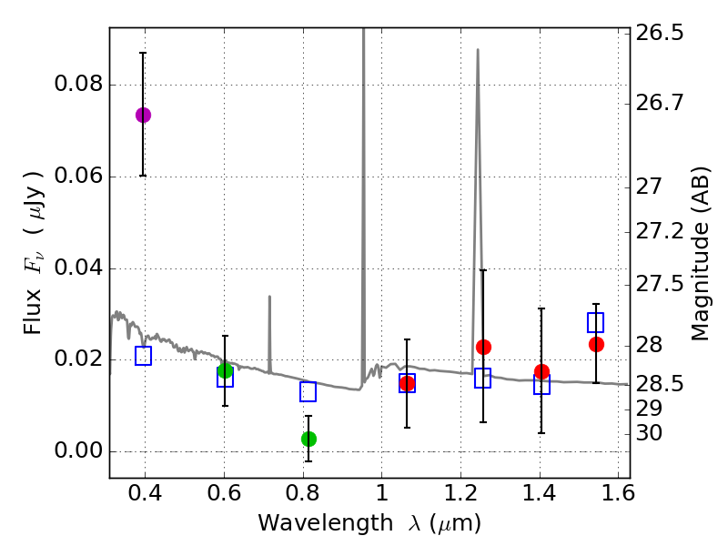
RXS0603+42-N IR detection object #3767

Color images and BPZ results
Catalog: 3767.cat
Black segments are analyzed here.   Roll mouse over color images to view segments.
Best viewed in a wide browser window (1200 pixels or more).   Download SED & P(z) plots to view larger versions.
In P(z) plots: Yellow lines mark the cluster redshift z = 0.228,  

Object #3767   x,y = (3140, 2294)   RA, Dec = (06:03:10.680, 42:15:35.28) = (90.79450, 42.25980)   BPZ = 1.558 [0.987--2.558]   type = 11.00 (SB11_A_0_l)   stellarity = 0.36   chisq2 = 4.90   ODDS = 0.21   z_cluster = 0.228