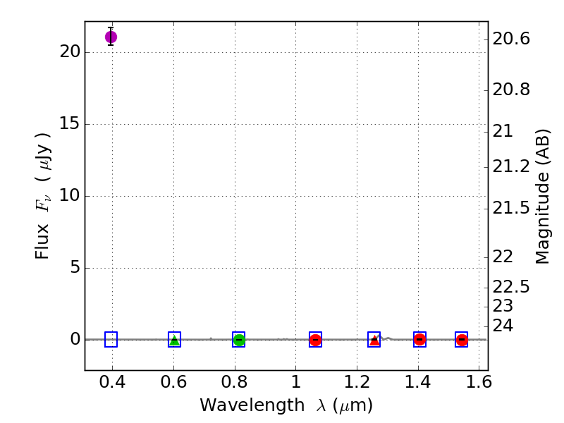
RXS0603+42-N IR detection object #3739

Color images and BPZ results
Catalog: 3739.cat
Black segments are analyzed here.   Roll mouse over color images to view segments.
Best viewed in a wide browser window (1200 pixels or more).   Download SED & P(z) plots to view larger versions.
In P(z) plots: Yellow lines mark the cluster redshift z = 0.228,  

Object #3739   x,y = (1974, 2517)   RA, Dec = (06:03:16.992, 42:15:48.60) = (90.82080, 42.26350)   BPZ = 0.938 [0.288--6.151]   type = 11.00 (SB11_A_0_l)   stellarity = 0.91   chisq2 = 287.50   ODDS = 0.06   z_cluster = 0.228