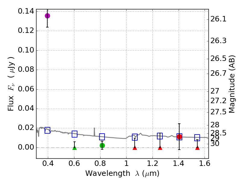
RXS0603+42-N IR detection object #3735

Color images and BPZ results
Catalog: 3735.cat
Black segments are analyzed here.   Roll mouse over color images to view segments.
Best viewed in a wide browser window (1200 pixels or more).   Download SED & P(z) plots to view larger versions.
In P(z) plots: Yellow lines mark the cluster redshift z = 0.228,  

Object #3735   x,y = (2718, 2309)   RA, Dec = (06:03:12.960, 42:15:36.36) = (90.80400, 42.26010)   BPZ = 1.698 [0.825--2.432]   type = 11.00 (SB11_A_0_l)   stellarity = 0.70   chisq2 = 26.82   ODDS = 0.33   z_cluster = 0.228