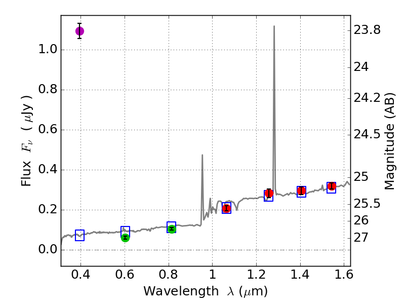
RXS0603+42-N IR detection object #3707

Color images and BPZ results
Catalog: 3707.cat
Black segments are analyzed here.   Roll mouse over color images to view segments.
Best viewed in a wide browser window (1200 pixels or more).   Download SED & P(z) plots to view larger versions.
In P(z) plots: Yellow lines mark the cluster redshift z = 0.228,  

Object #3707   x,y = (2485, 2304)   RA, Dec = (06:03:14.232, 42:15:36.00) = (90.80930, 42.26000)   BPZ = 1.563 [1.398--1.750]   type = 8.60 (SB2_B10 - SB1_B10)   stellarity = 0.94   chisq2 = 135.50   ODDS = 0.71   z_cluster = 0.228