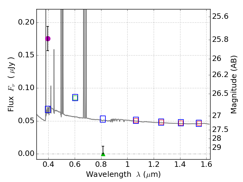
RXS0603+42-N IR detection object #3703

Color images and BPZ results
Catalog: 3703.cat
Black segments are analyzed here.   Roll mouse over color images to view segments.
Best viewed in a wide browser window (1200 pixels or more).   Download SED & P(z) plots to view larger versions.
In P(z) plots: Yellow lines mark the cluster redshift z = 0.228,  

Object #3703   x,y = (4549, 2315)   RA, Dec = (06:03:03.072, 42:15:36.72) = (90.76280, 42.26020)   BPZ = 0.022 [0.010--0.058]   type = 11.00 (SB11_A_0_l)   stellarity = 0.40   chisq2 = 48.05   ODDS = 0.98   z_cluster = 0.228