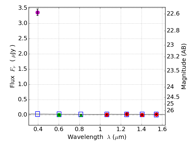
RXS0603+42-N IR detection object #3675

Color images and BPZ results
Catalog: 3675.cat
Black segments are analyzed here.   Roll mouse over color images to view segments.
Best viewed in a wide browser window (1200 pixels or more).   Download SED & P(z) plots to view larger versions.
In P(z) plots: Yellow lines mark the cluster redshift z = 0.228,  

Object #3675   x,y = (2412, 2327)   RA, Dec = (06:03:14.616, 42:15:37.44) = (90.81090, 42.26040)   BPZ = 1.700 [0.556--6.277]   type = 11.00 (SB11_A_0_l)   stellarity = 0.85   chisq2 = 267.30   ODDS = 0.16   z_cluster = 0.228