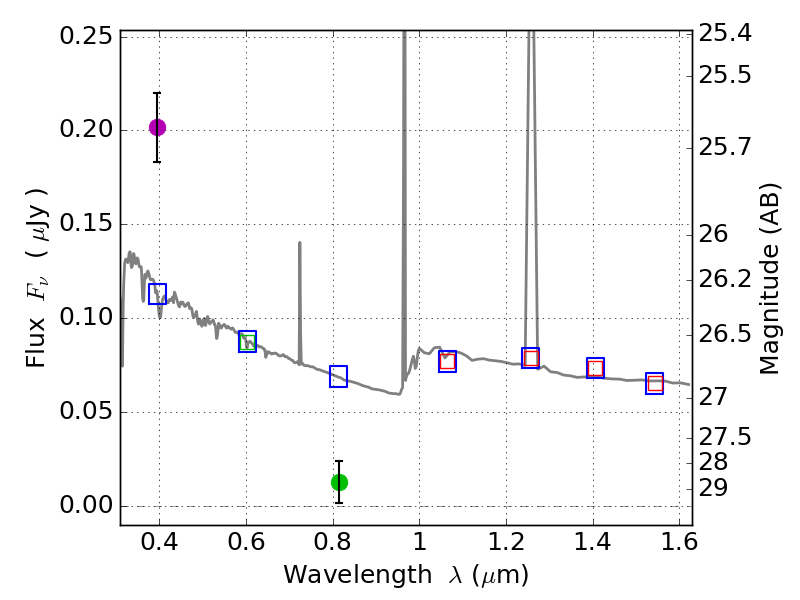
RXS0603+42-N IR detection object #3652

Color images and BPZ results
Catalog: 3652.cat
Black segments are analyzed here.   Roll mouse over color images to view segments.
Best viewed in a wide browser window (1200 pixels or more).   Download SED & P(z) plots to view larger versions.
In P(z) plots: Yellow lines mark the cluster redshift z = 0.228,  

Object #3652   x,y = (4650, 2304)   RA, Dec = (06:03:02.520, 42:15:36.00) = (90.76050, 42.26000)   BPZ = 1.594 [1.350--2.013]   type = 11.00 (SB11_A_0_l)   stellarity = 0.75   chisq2 = 36.96   ODDS = 0.46   z_cluster = 0.228