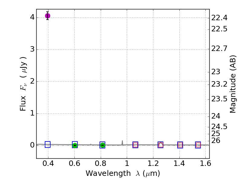
RXS0603+42-N IR detection object #365

Color images and BPZ results
Catalog: 365.cat
Black segments are analyzed here.   Roll mouse over color images to view segments.
Best viewed in a wide browser window (1200 pixels or more).   Download SED & P(z) plots to view larger versions.
In P(z) plots: Yellow lines mark the cluster redshift z = 0.228,  

Object #365   x,y = (2236, 3631)   RA, Dec = (06:03:15.576, 42:16:55.56) = (90.81490, 42.28210)   BPZ = 1.594 [0.543--2.786]   type = 11.00 (SB11_A_0_l)   stellarity = 0.94   chisq2 = 1086.00   ODDS = 0.18   z_cluster = 0.228