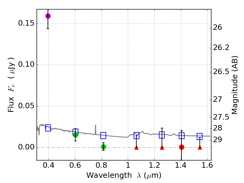
RXS0603+42-N IR detection object #3642

Color images and BPZ results
Catalog: 3642.cat
Black segments are analyzed here.   Roll mouse over color images to view segments.
Best viewed in a wide browser window (1200 pixels or more).   Download SED & P(z) plots to view larger versions.
In P(z) plots: Yellow lines mark the cluster redshift z = 0.228,  

Object #3642   x,y = (1645, 2331)   RA, Dec = (06:03:18.768, 42:15:37.44) = (90.82820, 42.26040)   BPZ = 1.700 [1.018--2.435]   type = 11.00 (SB11_A_0_l)   stellarity = 0.68   chisq2 = 21.05   ODDS = 0.34   z_cluster = 0.228