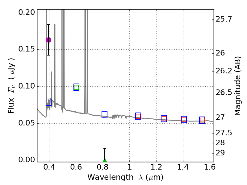
RXS0603+42-N IR detection object #3615

Color images and BPZ results
Catalog: 3615.cat
Black segments are analyzed here.   Roll mouse over color images to view segments.
Best viewed in a wide browser window (1200 pixels or more).   Download SED & P(z) plots to view larger versions.
In P(z) plots: Yellow lines mark the cluster redshift z = 0.228,  

Object #3615   x,y = (4615, 2320)   RA, Dec = (06:03:02.712, 42:15:36.72) = (90.76130, 42.26020)   BPZ = 0.024 [0.010--0.067]   type = 11.00 (SB11_A_0_l)   stellarity = 0.31   chisq2 = 28.60   ODDS = 0.97   z_cluster = 0.228