RXS0603+42-N IR detection object #3561

Color images and BPZ results
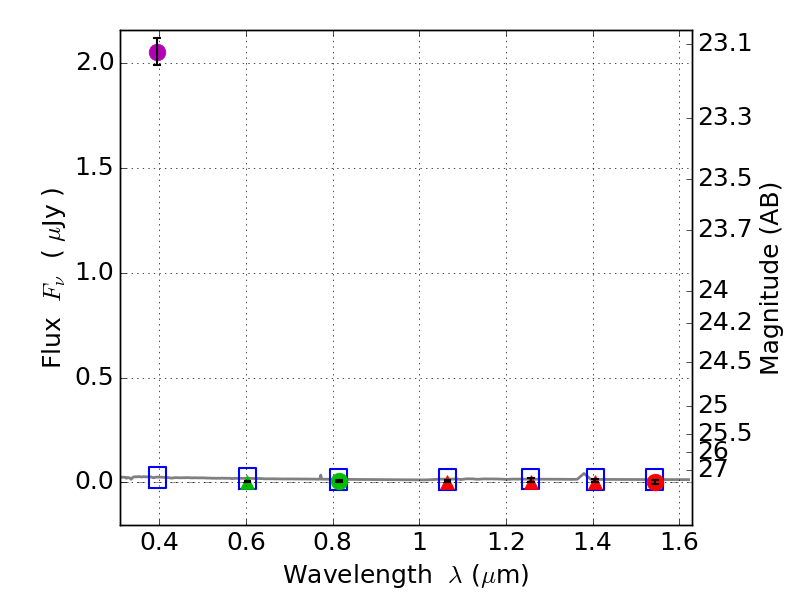
Catalog: 3561.cat
Black segments are analyzed here.   Roll mouse over color images to view segments.
Best viewed in a wide browser window (1200 pixels or more).   Download SED & P(z) plots to view larger versions.
In P(z) plots: Yellow lines mark the cluster redshift z = 0.228,  

Object #3561   x,y = (2405, 2356)   RA, Dec = (06:03:14.664, 42:15:38.88) = (90.81110, 42.26080)   BPZ = 1.763 [0.500--2.784]   type = 11.00 (SB11_A_0_l)   stellarity = 0.99   chisq2 = 242.30   ODDS = 0.24   z_cluster = 0.228