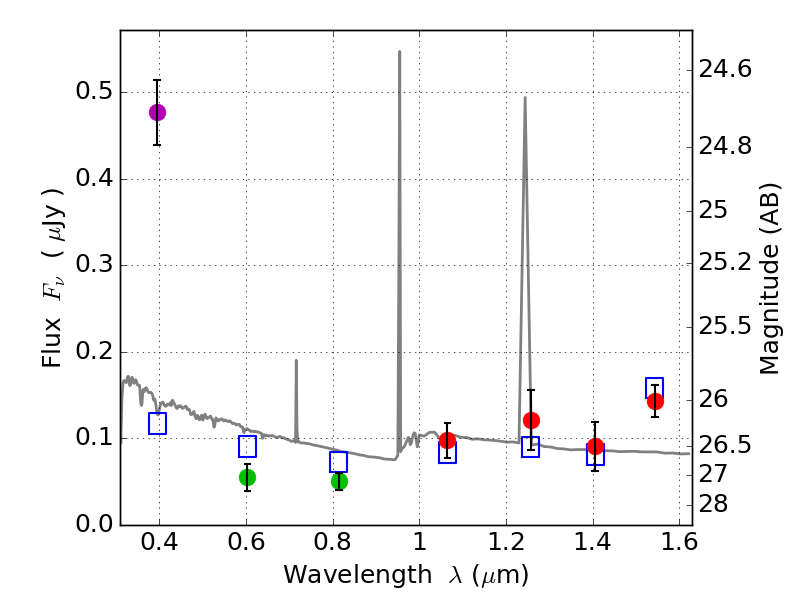
RXS0603+42-N IR detection object #3545

Color images and BPZ results
Catalog: 3545.cat
Black segments are analyzed here.   Roll mouse over color images to view segments.
Best viewed in a wide browser window (1200 pixels or more).   Download SED & P(z) plots to view larger versions.
In P(z) plots: Yellow lines mark the cluster redshift z = 0.228,  

Object #3545   x,y = (2527, 2282)   RA, Dec = (06:03:13.992, 42:15:34.56) = (90.80830, 42.25960)   BPZ = 1.558 [1.238--1.875]   type = 11.00 (SB11_A_0_l)   stellarity = 0.61   chisq2 = 23.28   ODDS = 0.50   z_cluster = 0.228